Deep Learning2019. 12. 12. 19:22
반응형

 김성훈 교수님의 [모두를 위한 딥러닝] 강의 정리

 - https://www.youtube.com/watch?reload=9&v=BS6O0zOGX4E&feature=youtu.be&list=PLlMkM4tgfjnLSOjrEJN31gZATbcj_MpUm&fbclid=IwAR07UnOxQEOxSKkH6bQ8PzYj2vDop_J0Pbzkg3IVQeQ_zTKcXdNOwaSf_k0

 - 참고자료 : Andrew Ng's ML class

  1) https://class.coursera.org/ml-003/lecture

  2) http://holehouse.org/mlclass/ (note)

 

1. Learning rate

 - 어느 정도의 크기로 기울기가 줄어드는 지점으로 이동하겠는가를 나타내는 지표

 - cost function을 최소화시키기 위해 사용하는 'Gradient descent algorithm'에서 cost 값의 미분한 값 앞 알파값

  c.f) Gradient descent algorithm : 기울기 크기가 줄어드는 쪽으로 가면 cost function이 최소가 되는 지점을 찾아간다.

 - overshooting : learning rate의 값이 너무 커서 최소값에 도달하지 않고 오히려 그래프를 벗어나는 경우

 - small learning rate : step의 간격이 매우 작아서 학습 속도가 매우 느리게 됨

 - cost 값을 확인하여, 적절한 learning rate을 정하는 것이 중요함 : data와 환경에 따라 다름

 

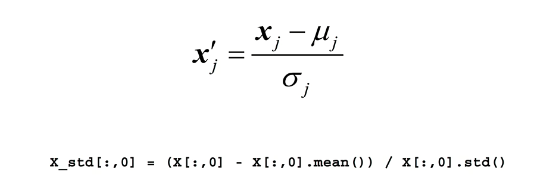
2. Preprocessing for gradient descent algorithm (전처리, 선처리)

 - 두 개의 입력 값(x1, x2)이 적절한 범위 차이를 갖는 경우 : 

 - 두 개의 입력 값(x1, x2)이 매우 큰 차이를 갖는 경우 :

 

 - Preprocessing 필요 

 

 - 여러 normalization (표준화) 중 standardization

 

3. Overfitting

 - 학습 데이터에 딱 맞는 모델을 만드는 경우, 다른 실제 데이터와는 안 맞는 경우가 생김

 - 학습 데이터(training data)가 많을 수록, feature(입력으로 들어오는 변수)의 개수를 줄일 수록, Regularization(일반화)할 수록 Overfitting을 방지할 수 있음

 

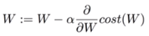
 - Regularization : weight에 너무 큰 가중치를 두지 말 것. weight의 값이 커지면 그래프 형태가 구부러진 형태가 되고, weight의 크기가 작으면 그래프 형태가 선형을 이룬다. 이를 위해 cost function 뒤에 아래와 같은 식을 추가한다.

 - Regularization의 Python 구현 : cost에 다음 변수 l2reg을 더함. cost 함수가 틀렸을 때 높은 비용이 발생할 수 있도록 벌점(penalty)을 부과하는 것처럼 W에 대한 값이 클 경우에 penalty를 부여함. λ 값을 사용하여 얼마나 penalty를 부여할 것인지 결정함

                                           l2reg = 0.001 * tf.reduce_sum(tf.square(W))

 

반응형
Posted by CCIBOMB
Deep Learning2019. 12. 4. 20:08
반응형

 김성훈 교수님의 [모두를 위한 딥러닝] 강의 정리

 - https://www.youtube.com/watch?reload=9&v=BS6O0zOGX4E&feature=youtu.be&list=PLlMkM4tgfjnLSOjrEJN31gZATbcj_MpUm&fbclid=IwAR07UnOxQEOxSKkH6bQ8PzYj2vDop_J0Pbzkg3IVQeQ_zTKcXdNOwaSf_k0

 - 참고자료 : Andrew Ng's ML class

  1) https://class.coursera.org/ml-003/lecture

  2) http://holehouse.org/mlclass/ (note)



1. Linear Regression

 

2. (binary) classification -> 0, 1 encoding

 - Spam E-mail Detection: Spam(0) or Ham(1)

 - Facebook feed: show(0) or hide(1)

 - Credit Card Fraudulent Transaction detection: legitimate(0) or fraud(1)

 

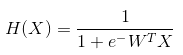
3. Logistic Hypothesis

 

4. Logistic Regression의 새로운 cost 함수

 

5. cost 함수의 최소화 - Gradient decent algorithm

  -> tensorflow

# cost function

cost = -tf.reduce_mean(-tf.reduce_sum(Y*tf.log(hypothesis) + (1-Y)*tf.log(1-hypothesis)))

 

# Minimize

a = tf.Variable(0.1) # Learnign rate, alpha

optimizer = tf.train.GradientDescentOptimizer(a)

train = optimizer.miminize(cost)

 

6. Tensorflow로 Logistic (regression) classifier 구현하기

 (1) Training Data

x_data = [[1, 2], [2, 3], [3, 1], [4, 3], [5, 3],[6, 2]]
y_data = [[0], [0], [0], [1], [1], [1]]
 
# placeholders for a tensor that will be always fed.
X = tf.placeholder(tf.float32, shape=[None, 2])
Y = tf.placeholder(tf.float32, shape=[None, 1])

 

 (2) tensorflow로 hypothesis 구현

W = tf.Variable(tf.random_normal([2, 1]), name='weight')
b = tf.Variable(tf.random_normal([1]), name='bias')
 
# Hypothesis using sigmoid: tf.div(1., 1. + tf.exp(tf.matmul(X, W)))
hypothesis = tf.sigmoid(tf.matmul(X, W) + b)

 

 (3) tensorflow로 cost/loss function 구현

# cost function

cost = -tf.reduce_mean(-tf.reduce_sum(Y*tf.log(hypothesis) + (1-Y)*tf.log(1-hypothesis)))

 

 (4) tensorflow로 cost 최소화 구현

# Minimize

a = tf.Variable(0.01) # Learnign rate, alpha

optimizer = tf.train.GradientDescentOptimizer(a)

train = optimizer.miminize(cost)

 

 (5) 예측 정확도 계산

# Accuracy computation
# True if hypothesis>0.5 else False
predicted = tf.cast(hypothesis > 0.5, dtype=tf.float32)
accuracy = tf.reduce_mean(tf.cast(tf.equal(predicted, Y), dtype=tf.float32))

 

 (6) Training the model

# Launch graph
with tf.Session() as sess:
# Initialize TensorFlow variables
sess.run(tf.global_variables_initializer())
 
for step in range(10001):
cost_val, _ = sess.run([cost, train], feed_dict={X: x_data, Y: y_data})
if step % 200 == 0:
print(step, cost_val)

 

 (7) 예측 정확도 출력

# Accuracy report
h, c, a = sess.run([hypothesis, predicted, accuracy],
feed_dict={X: x_data, Y: y_data})
print("\nHypothesis: ", h, "\nCorrect (Y): ", c, "\nAccuracy: ", a)

 

 (8) 실행결과 : 정확도 100% !!

 

7. 실제 데이터로 테스트

 (1) diabetes.csv

https://github.com/hunkim/DeepLearningZeroToAll/blob/master/data-03-diabetes.csv

 

hunkim/DeepLearningZeroToAll

TensorFlow Basic Tutorial Labs. Contribute to hunkim/DeepLearningZeroToAll development by creating an account on GitHub.

github.com

 

 (2) tensorflow 구현

# Lab 5 Logistic Regression Classifier
import tensorflow as tf
import numpy as np
tf.set_random_seed(777) # for reproducibility
 
xy = np.loadtxt('data-03-diabetes.csv', delimiter=',', dtype=np.float32)
x_data = xy[:, 0:-1]
y_data = xy[:, [-1]]
 
print(x_data.shape, y_data.shape)
 
# placeholders for a tensor that will be always fed.
X = tf.placeholder(tf.float32, shape=[None, 8])
Y = tf.placeholder(tf.float32, shape=[None, 1])
 
W = tf.Variable(tf.random_normal([8, 1]), name='weight')
b = tf.Variable(tf.random_normal([1]), name='bias')
 
# Hypothesis using sigmoid: tf.div(1., 1. + tf.exp(-tf.matmul(X, W)))
hypothesis = tf.sigmoid(tf.matmul(X, W) + b)
 
# cost/loss function
cost = -tf.reduce_mean(Y * tf.log(hypothesis) + (1 - Y) *
tf.log(1 - hypothesis))
 
train = tf.train.GradientDescentOptimizer(learning_rate=0.01).minimize(cost)
 
# Accuracy computation
# True if hypothesis>0.5 else False
predicted = tf.cast(hypothesis > 0.5, dtype=tf.float32)
accuracy = tf.reduce_mean(tf.cast(tf.equal(predicted, Y), dtype=tf.float32))
 
# Launch graph
with tf.Session() as sess:
# Initialize TensorFlow variables
sess.run(tf.global_variables_initializer())
 
for step in range(10001):
cost_val, _ = sess.run([cost, train], feed_dict={X: x_data, Y: y_data})
if step % 200 == 0:
print(step, cost_val)
 
# Accuracy report
h, c, a = sess.run([hypothesis, predicted, accuracy],
feed_dict={X: x_data, Y: y_data})
print("\nHypothesis: ", h, "\nCorrect (Y): ", c, "\nAccuracy: ", a)

 

 (3) 실행결과

step, cost :

(0, 0.82793975)
(200, 0.75518084)
(400, 0.7263554)
(600, 0.70517904)
(800, 0.6866306)
(1000, 0.669853)

...

(9000, 0.49424884)
(9200, 0.49348038)
(9400, 0.49275032)
(9600, 0.49205625)
(9800, 0.49139577)
(10000, 0.4907668)

 

hypothesis :

[0.4434849 ],
[0.9153646 ],
[0.22591159],
[0.93583125],
[0.3376363 ],
[0.70926887],
[0.94409144],

...

 

correct(Y) :

[0.],
[1.],
[0.],
[1.],
[0.],
[1.],
[1.],

...

 

Accuracy :

0.7628459

반응형
Posted by CCIBOMB